Example: Solve the differential equation:

        y′′ + 2y′ - 5y/4 = 0 , y(0) = 1 , y′(0) = – 1

Solution:

        General equation is:

From (1), (2):

       

General equation is:

__________________________________________________________________

 

Used Laplace

 

(كسور جزئية)

 

_____________________________________________________________

 

Used MathCAD

 

 

 ___________________________________________________________

 

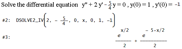
 Used Derive 6:

__________________________________________________________________

 

Used Math lab 15a(mupad):

    solve(ode({y''(x)+2*y'(x)-(5/4)*y(x)=0,y(0)=1,y'(0)=-1},y(x)))
 

 

__________________________________________________________________

 

Used Math lab 15a:

 

    solve(ode({y''(x) +2*y'(x)-5*y(x)/4= 0, y(0) = 1, y'(0) = -1}, y(x)))
 

 

__________________________________________________________________

     

Used Maple 18:

>  

       

__________________________________________________________________

   Used Mathematica 11   

   DSolve[{y''[x]+2*y'[x]-5/4*y[x]==0,y[0]==1,y'[0]==-1},y[x],x]

    

_________________________________________________________________